贛州麥丹油城改建二級加油站建設項目
發布時間:2020-07-20
|
安全評價單位名稱 |
贛州麥丹油城 |
||
|
項目名稱: |
改建二級加油站建設項目安全驗收評價報告 |
||
|
簡 介: |
|||
|
安全評價項目組長: |
李永輝 |
||
|
技術負責人: |
馬 程 |
||
|
過程控制負責人: |
檀廷斌 |
||
|
評價報告編制人: |
李永輝 |
||
|
報告審核人: |
林大建 |
||
|
參與評價工作的安全評價師: |
陳 浩 |
||
|
注冊安全工程師: |
劉志強、李永輝 |
||
|
技術專家: |
劉志強,化工工藝工程師 |
||
|
到現場開展安全評價工作的人員名單: |
劉志強 |
||
|
時間和主要任務: |
完成時間:2020年7月20日;
主要任務:安全驗收評價報告; |
||
|
評價報告: |
|||
|
一、評價對象及范圍:
贛州麥丹油城二級加油站改建工程項目的主體裝置和輔助設施,包括經營過程中的危險和危害因素控制措施和工藝、設備設施的安全可靠性以及安全管理方面的組織、機構、人員、防護設施、作業環境及管理制度等安全經營條件的符合性評價。未完成的汽車服務中心不在評價范圍內。具體范圍如下:
1.2層站房1棟及加油罩棚
二、項目基本情況:
建設項目名稱:贛州麥丹油城改造項目(二級加油站)。
建設單位:贛州麥丹油城
投資單位:贛州麥丹油城
法人代表:劉曉燕
項目地址:江西省贛州市經濟技術開發區楊梅村香江大道南側
儲存規模:設0#柴油儲罐2臺,每臺儲罐容積為35m3、92#汽油儲罐1臺,儲罐容積為35m3、95#汽油儲罐1臺,儲罐為35m3,98#汽油儲罐1臺,儲罐為35m3。總容量175m3,折合汽油為140m3,按國家現行《汽車加油與加氣站設計與施工規范》對加油站的等級劃分計算,該站屬二級加油站。
加油能力:加油站設2排加油島,4臺多油品6槍加油機,2臺多油品8槍加油機。
勞動就業:勞動定員8人(其中站長1人,副站長兼安全員1人,加油員6人)。
建設內容:項目占地面積近2167.87㎡,油罐區210㎡,設2臺35m³的0#柴油臥式SF油罐、1臺35m³的92#汽油臥式SF油罐、1臺35m³95#的汽油臥式SF罐,1臺35m³98#的汽油臥式SF罐;加油區網架540㎡,設4臺6槍加油機,2臺8槍加油機;二層站房,占地面積186㎡,建筑面積372㎡。汽車服務中心(非動火作業場所)五層,占面積為287.72㎡,建筑面積為1481㎡。
該加油站規劃用地面積約為2167.87m2,用地呈五邊形,其位置與香江大道平行,面向北面,其北面總長約68.3m,東面邊長約29m,南面邊長約59.0m,西南邊長為35.3m,西面長約32.7m(呈五段折線,包括退讓線)。
該加油站處經開區香江大道南側,加油站的出入口設在香江大道;加油站東面圍墻外為空地,菜地,空地處為城市規劃預留地;南面為空地和菜地,屬于城市規劃用地,西面圍墻外也是空地。站區500m范圍內無學校、醫院等重要公共建筑,不會受洪澇、泥石流等自然災害影響,是較理想的加油站建設場地。(具體參見附件——總平面布置圖)。
卸油工藝:油罐車行駛至加油站內密封卸油口停車處,利用油罐車與地下儲油罐的高位差,采用密閉式卸油。采用油氣回收系統,在油罐車卸油過程中,將原來儲油罐內散溢的油氣,通過油氣回收地下工藝管線及卸車軟管重新收集至油罐車內,實現卸油與油氣等體積置換。其工藝流程如下圖:
卸油油氣
卸油工藝流程圖
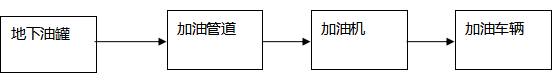
加油工藝:加油作業時,采用潛油泵提供的動力,油品通過加油管道至加油機,進入受油容器。同時,加汽油作業時,有油氣回收回收系統,汽油蒸汽通過油氣回收管道回至汽油罐。具體流程見下圖:
柴油加油工藝流程圖
汽油加油工藝流程圖
三、評價結論 |
|||
|
提交時間: |
2020年7月20日 |
||
|
現場影像資料 |
|||






