贛州貢源加油站改建二級加油站建設項目
發布時間:2021-01-04
|
安全評價單位名稱 |
贛州貢源加油站 |
||
|
項目名稱: |
改建二級加油站建設項目安全預評價報告 |
||
|
簡 介: |
|||
|
安全評價項目組長: |
劉志強 |
||
|
技術負責人: |
馬 程 |
||
|
過程控制負責人: |
檀廷斌 |
||
|
評價報告編制人: |
劉志強 |
||
|
報告審核人: |
李永輝 |
||
|
參與評價工作的安全評價師: |
李永輝、陳 浩 |
||
|
注冊安全工程師: |
劉志強、李永輝 |
||
|
技術專家: |
劉志強,化工工藝工程師 |
||
|
到現場開展安全評價工作的人員名單: |
劉志強 |
||
|
時間和主要任務: |
完成時間:2021年1月4日;
主要任務:安全預評價報告; |
||
|
評價報告: |
|||
|
一、評價對象及范圍:
贛州貢源加油站改建二級加油站工程項目的選址、總平面布置、主體裝置和輔助設施的安全條件,主要為改建所涉及的油罐區及卸油、加油機及加油工藝管道設施,消防安全,防雷設施。利舊設施包括站房、發電機間,衛生間。包括經營過程中的危險和危害因素、建設項目的安全條件以及規劃設計中提出的工藝、設備設施的安全可靠性和勞動安全管理方面的組織、機構、人員、防護設施、作業環境及管理制度等。具體范圍如下:
1.2層站房1棟及加油罩棚、發配電室
二、項目基本情況:
⑴周邊環境
該改建站位于贛州市贛縣區梅林鎮贛新大道246號,加油站朝向北面贛新大道。目前,該項目四周環境情況如下:
加油站在東南西三面均設2.2m防護實體圍墻。
東面:為兩棟居民樓房,其中靠加油區東側一棟為4層,距離最近的加油機16.3m,中間衛生間和洗車機東面為一棟6層樓房,距離衛生間為5m,距離相鄰的95#汽油罐30m。
東南角:為一棟6層樓房,距離相鄰的95#汽油罐31.7m。
南面:為一棟16層的商住樓,屬于二類保護建筑,距離相鄰92#汽油罐和95#汽油罐18.5m。
西南角:為一棟12層的商住樓,屬于二類保護建筑,距離相鄰最近的0#柴油罐10.4m,距最近92#汽油罐13.6m
西面:有兩棟樓房,其中靠中部為一棟單層民房,距離最近的0#柴油罐28.3m,距離汽油加油機15.2m,靠北端為一棟6層民房,距離相鄰加油機為19.4m。
該改建站周邊50m范圍內,除贛新大道外,無其他的重要公共建筑物,且無國家確認的自然保護區、風景區及其他商場、影劇院、學校等公共場所。 ![]()
該改建站,總規劃用地面積為2626m2,用地略呈多邊形,其中東面呈折線,靠公路段長27.8m,靠南段長34.9m,折線段14m;南面長38.1m;西面呈斜線和折線,靠南段斜線長24.2m,靠站房段7.3m,靠北段長為31.3m,北面沿贛新大道長45.7m。加油站的工藝設施及建筑物應布置用地面積范圍內。
根據規劃設計,該改建站位于贛新大道南側,車輛從贛新大道兩端出入,進出口相距25m,西、南、東面已建高2.2m的實體圍墻,有利于安全管理。站區內除加油作業區和必要的硬化面積外,其它地面種植非油性草坪綠化。(具體參見附件——總平面布置圖)。 ![]()
贛州貢源加油站改建二級加油站工程項目,站區內總平面布置加油區、油罐區、經營辦公區、輔助區、卸油作業區布置。加油站在油罐區與站房、加油區之間擬設洗車機。
【加油作業區】擬設2臺4槍多油品加油機(靠站房)和2臺6槍多油品加油機(靠公路),分二列布置,每列2臺加油機開布置在獨立加油島,加油島長4m寬1.2m,高度為0.15~0.20m。加油機上方設鋼網架結構的罩棚,罩棚一端由二個鋼混立柱支撐,分別位于加油島上,另一端固定在站房頂上(搭接2m),罩棚面積分別為22.0×27.8=612.02m2,拆除原罩棚頂,靠公路一側加油機距贛新大道路肩8.4m。重新設置的罩棚擬設高度為6m。
【加油機和工藝管道】擬選用潛油泵自封式加油機及加油槍,汽油加油槍的流量不大于50L/min,加油軟管上擬設安全拉斷閥。
卸油工藝:油罐車行駛至加油站內密封卸油口停車處,利用油罐車與地下儲油罐的高位差,采用密閉式卸油。采用油氣回收系統,在油罐車卸油過程中,將原來儲油罐內散溢的油氣,通過油氣回收地下工藝管線及卸車軟管重新收集至油罐車內,實現卸油與油氣等體積置換。其工藝流程如下圖:
卸油油氣
卸油工藝流程圖
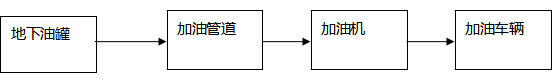
加油工藝:加油作業時,采用潛油泵提供的動力,油品通過加油管道至加油機,進入受油容器。同時,加汽油作業時,有油氣回收回收系統,汽油蒸汽通過油氣回收管道回至汽油罐。具體流程見下圖:
柴油加油工藝流程圖
汽油加油工藝流程圖
三、評價結論 |
|||
|
提交時間: |
2021年1月4日 |
||
|
現場影像資料 |
|||







